将进程空间分为1个个页,假设每个页大小为4K,同样的将系统的物理空间也分为1个个4K大小的物理块(页帧号),每次将需要运行的逻辑页装入物理块中,运行完再装入其他需要运行的页,可用分批次运行完进程,而无需将整块逻辑空间全部装入物理页内存中。

页式存储管理
- 有点:利用率高,碎片小(只有最后1个页中有)、分配即管理简单。
- 缺点:增加了系统开销,可能产生抖动现象
真题:
题1:某计算机系统页面大小为4K,若进程的页面转换表如下所示,逻辑地址为十六进制1D16H。该地址经过变换后,其物理地址应为十六机制(B)
| 页号 | 物理块号 |
| 0 | 1 |
| 1 | 3 |
| 2 | 4 |
| 3 | 6 |
- A.1054H
- B.3D16H
- C.4DI6H
- D.6D16H
4K=1024*4字节=4096=212,所以页内偏移位12位。由此,可知逻辑地址1D16H的低位12位D16H为偏移地址,高位4位1为逻辑页号,在页表中对应物理块号3,因此物理地址为3D16H
题2:
某进程有4个页面,页号为0~3,页面变换表及状态位,访问位和修改位的含义如下图所示,若系统给该进程分配3个存储块,当访问前页面1不在内存时,淘汰表中页号为(D)的页面代价最小。
| 页号 | 页帧号 | 状态位 | 访问位 | 修改位 |
| 0 | 6 | 1 | 1 | 1 |
| 1 | - | 0 | 0 | 0 |
| 2 | 3 | 1 | 1 | 1 |
| 3 | 2 | 1 | 1 | 0 |
| 状态位含义 | 0 不在内存 |
| 状态位含义 | 1 在内存、 |
| 访问位含义 | 0 未访问过 |
| 访问位含义 | 1 访问过 |
| 修改位含义 | 0 未修改过 |
| 修改位含义 | 1 修改过 |
- A.0
- B.1
- C.2
- D.3
快表
是一块小容量的相联存储器,由快速存储器组成,按内容访问,速度快,并且可以从硬件上保证按内容并行查处,一般用来存放当前访问最频繁的少数活动页面的页号
快表是将页表村庄与cache中,慢表将页表存在于内存上。
因此慢表需要访问2次内存才能取出页,而快表是访问1次cache和1次内存,因此更快
段式存储管理
将进程空间分为1个个段,每段也有段号和段内地址,与页式存储不同的式,每段物理大小不同,分段式根据逻辑整体分开段的。
地址表示:(段号,段内偏移):其中段内偏移不能超过该段号对应的段长,否则越界错误,而此地址对应的真正内存地址应该是:段号对应的基地址+段内偏移

例题:设某进程的段表如下所示,逻辑地址(B)可以转换未对应的物理地址
| 段号 | 基地址 | 段长 |
| 0 | 1598 | 600 |
| 1 | 486 | 50 |
| 2 | 90 | 100 |
| 3 | 1327 | 2988 |
| 4 | 1952 | 960 |
- A.(0,1597)、(1,30)和(3,1398)
- B.(0,128)、(1,30)和(3,1390)
- C.(0,1597)、(2,98)和(3,1390)
- D.(0,128)、(2,98)和(4,1066)
解析:(段号,段内偏移)其中段内偏移不能超过该段号对应的段长,否则越界错误。
A:段号0,对应的段长是600,而A选择中段长是1597。所以A错误
C同A
D:段号0,段长128,128<600。段号2,段长98,98小于100。段号4,段长1066,1066>960,已经越界,错误。
所以ACD错误,B正确

段页式存储管理
文件结构

计算机系统中采用的索引文件结构如左图所示:
系统中由13个索引节点,0-9为直接索引,即每个索引节点存放的式内存,假设每个物理盘大小为4KB,共可存4KB*10=40KB数据;
1号索引节点为1级间接索引节点,大小为4KB,存放的并非直接数据,而是链接到直接物理盘块的地址,假设每个地址占4B,则共有1024个地址,对应1024个物理盘,可存1024*4BK=4098KB.
二级索引节点类似,直接盘存放一级地址,一级地址再存放物理盘块地址,而后链接到存放数据的物理盘块,容量又扩大了1个数量级为1024*1024*4KB数据
真题:设文件索引节点中有8个地址项,每个地址项大小为4字节(B),其中5个地址为直接索引,2个地址项是一级间接索引地址,1个地址是二级间接地址索引,磁盘索引块和磁盘块大小均为1KB,若要访问文件的逻辑块分别为5和518,则系统应采用(),而且表示的单个文件最大长度是()
- A.直接地址索引和一级间接地址索引
- B.直接地址索引和一级间接地址索引
- C.一级间接地址索引和二级地址索引
- D.一级间接地址索引和一级地址索引
- A.517
- B.1029
- C.16513
- D.66053
解析:有5个地址项为直接地址索引,索引直接地址索引涉及到的逻辑块号为:0~4,2个地址项为一级间接地址索引,每个一级间接索引节点对应的逻辑块个数为1KB/4B=256个。所以一级间接所以涉及到的逻辑块号为:5-516。二级间接所以多对应的逻辑块号几位:517以上,可表示的单个文件的长度,首先计算直接地址索引,就是5个数据块,为5KB,而后一级间接地址索引,可表示256个数据库,即256KB。二级间接256*256KB,全部加起来共5+256*2+256*256=66053
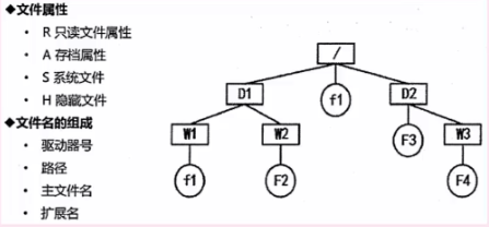
树形文件目录

相对路径:是从当前路径开始的路径
绝对路径:是从根目录开始的路径
全文件名=绝对路径+文件名(绝对路径和相对路径是不加最后的文件名,只是单纯的路径序列)
树形结构主要是区分相对路径和绝对路径,如左图所示
空闲存储空间管理
- 空闲区表法:将所有空闲空间整合成一张表,即空闲文件目录。
- 空闲链表法:将所有空闲空间链接成1个链表,根据需要分配。
- 成组链接法:即分组,每组内又链接成链表,是上述2种方法的综合。
- 位示图法:对每个物理空间用1位标识,为1则使用,为0则空闲,形成1张位示图法
真题:某文件管理系统采用位示图(bitmap)记录磁盘的使用情况。如果系统的字长为32位,磁盘物理块的大小位4MB,物理块依次编号为:0、1、2、3.......,位示图依次编号位::0、1、2、3.......,那么16385号物理块的使用情况在位示图种的第()个字中描述:如果磁盘的容量位100GB,那么位示图需要()个字来表示
A. - 127 B 256 C 512 D 1024
A 1200 B 3200 C 6400 D 8000
解析:在位示图中,1个物理块占1个字节中的1位,第16385占到16386位(从0开始),16386/32=512余数2,可知,其在513个字中描述,但因为从0开始编号,是第512个字;磁盘容量100GB,共100GB/4MB=250*1024个物理块,需要250Kb表示,即250*1024bit/32bit=8000个字。
设备管理
设吧的分类方式
- 按数据组织分类:块设备,字符设备
- 资源分配角度分类:独占设备,共享设备和虚拟设备
- 数据传输速率分类:低速设备,中速设备,高速设备

I/0软件层次结构
输入输出技术
- 程序控制(查询)方式:CPU主动查询外设是否完成数据传输,效率极低
- 程序中断方式:外设完成数据传输后,向CPU发送中断,等待CPU处理数据,效率相对较高,适用于键盘等实时性较高的场景
- 中断响应时间指的是从发出中断请求到开始进入中断处理程序;中断处理时间值的是从中断处理开始到中断处理结束。中断向量提供中段服务程序的入口地址。多级中断嵌套,使用堆栈来保护断点和现场
- DMA方式(直接主存存取):CPU只需要完成必要的初始化等操作,数据传输的整个过程都由DMA控制器来完成,在主存和外设之间建立的数据通路,效率很高。适用于硬盘等高速设备
在1个总线周期结束后,CPU会响应DMA请求开始读取数据:CPU响应程序中断方式请求是在1条指令执行结束时:区分指令执行结束和总线周期结束
虚拟设备和SPOOLING技术
1台实际的物理设备
引入SPOOLING技术,就是在外设上建立2个数据缓冲区,分别称为输入井和输出井,这样无论多少进程,都可以在公用这台打印机,只需要将打印机命令发出,数据就会排队在缓存区中,打印机会自动按顺序打印,实现了物理外设的共享,使得每个进程都感觉在使用1个打印机,这就是物理设备的虚拟化。如右图

真题:计算机系统中主机和外设间的输入输出控制方式又多种,其中占用主机CPU时间最多的是()方式
- A、通道
- B、DMA
- B、中断
- D、程序查询
解析:在计算机中,输入输出控制方式有5种,分别是程序查询方式(程序控制方式)、程序中断方式、DMA工作方式、I/0处理机。这5种方式占用CPU时间安多到少排序为:
程序查询方式>程序中断方式>DMA工作方式>通道方式>I/O处理机

暂无评论
要发表评论,您必须先 登录